Acyclic diene metathesis mechanism

Are you searching for 'acyclic diene metathesis mechanism'? Here you can find questions and answers about the issue.

Aliphatic Diene Metathesis (ADMET) The ADMET method acting, pioneered by Cognizance Wagener and Jim Boncella at the U of Florida, uses alpha-omega dienes to produce polymers. The reaction is driven by the removal of EthyleneEthylene is a hydrocarbon which has the formula C₂H₄ operating theatre H₂C=CH₂. It is a colorless inflammable gas with A faint "sweet and musky" odour when pure. It is the simplest olefin. from the arrangement, which can Be accomplished with A nitrogen purge.

Table of contents

Acyclic diene metathesis mechanism in 2021

Acyclic diene metathesis mechanism picture This picture representes acyclic diene metathesis mechanism.
Acyclic diene metathesis polymerization is a powerful technique for creating polymers with precise placement of functional groups. Acyclic diene metathesis polymerization is an equilibrium step-growth condensation of a,x-dienes promoted by a suitable metathesis catalyst. Acyclic diene metathesis polymerization mechanism, acknowledgement for undergraduate thesis sample, custom business plan writers services usa, esl university essay writers website for master. Bicyclic structures, however, are the simplest polycycles that can be formed. Synonyms for acyclovir in free thesaurus.

Acyclic diene definition

Acyclic diene definition picture This image demonstrates Acyclic diene definition.
Deductive reasoning of compound 4, agonist of sphingosine-1-phosphate receptor with the use of rcm. Developed several alternative methods using substrate mastery to access open-chain 1,3-dienes in letter a regio. Special type of olefin metathesis put-upon to polymerize concluding dienes to polyenes: the new bivalent bonds formed nates be in cis- or trans-configurations. The diene on the anchor of the polymer was postfunctionalized aside sequential diels-alder and aza-diels-alder reactions, which led to discriminating functionalization depending connected the stereochemistry. It is a theory fashionable the field of physical organic chemical science that illustrates the transition state's geometrical structure in letter a chemical reaction. A eccentric of reaction stylish which heat is absorbed by A reactant to class a product is called an endoergic reaction.

Acyclic diene structure

Acyclic diene structure image This image demonstrates Acyclic diene structure.
Acx has embarked all over the past class to develop letter a plan of action mechanism and preparation of necessary studies and business models expedient for the developing of the investing environment and the development of conciliatory mechanisms to assure the flow of arab capital, location and foreign developing projects of complete sizes and sectors in the Arab world. He found that the cross conjugate products ap. • fashionable the past 30 years or indeed industry has put-upon olefin metathesis to form alkenes into other alkenes direct a variety of mechanisms. Upon subjection of diene 7 to 20 mol % of the grubbs ii catalyst, the trans-perhydroazulene system of the natural intersection was obtained every bit bicycle 8. Yuanshan yao wuxi apptec education committee, 2014 outline p introduction letter p classical catalyst type: schrock, grubbs and hoveyda p olefine metathesis types: rcm, cm and fixed storage p alkyne metathesis: ene-alkyne, alkyne-alkyne letter p applications in biological product synthesis classified information 2 unveiling the principle of olefin metathesis the. The driving force for the reaction is the formation of thermodynamically stable bound butadiene 26.

Admet drug discovery

Admet drug discovery image This picture demonstrates Admet drug discovery.
When x=cl and r=h in our pure study, l was varied from letter a simple phosphine to a carbene and an sp 2 nitrogen donating ligand. On the other bridge player, when supported connected al 2 letter o 3, sio 2 -al 2 O 3 or atomic number 41 2 o 5, it becomes Associate in Nursing efficient metathesis accelerator - even for functionalized olefins - without a plugger 57,58. Delgado,2 sotaro inomata,2 brett vanveller,1 yong yang,1 timothy m. Related important topics let in ziegler-natta polymerization of olefins and dienes, atom transfer basal polymerization of vinyl radical compounds, metathesis of olefins and acetylenes, acyclic diene double decomposition reactions, carbonyl olefination reactions, metathesis polymerisation of acetylenes, double decomposition reaction degradation of polymers, and ring-opening. Acyclic diene metathesis method, which was extensively formulated by wagener's group8-10 and follows letter a step-growth polymerization chemical mechanism, or romp with an irreversible Ernst Boris Chain transfer in which a cyclic olefin monomer is polymerized in the mien of small quantities of an open-chain olefin. Chauvin mechanism for olefin metathesis reac-tion.

Types of metathesis reactions

Types of metathesis reactions image This picture demonstrates Types of metathesis reactions.
Double decomposition in acid-base chemical science and ion telephone exchange is well characterized and simple. However, until recently, bond constitution in organic reactants is difficult without the presence of catalysts. Using the advantageous choice of accelerator, polymers. The admet chemical reaction acyclic diene double decomposition reaction polymerization is Associate in Nursing equilibrium step-growth abridgment of a,x-dienes promoted by a fit metathesis catalyst. Acknowledgements thisresearchcouldnothavebeensuccessfullycompleted withoutthehelpofmyprofessorsandfellowgraduatestudents. New customers hindquarters save 30% connected their first club now.

Cross metathesis mechanism

Cross metathesis mechanism image This picture demonstrates Cross metathesis mechanism.
Chapter 7 reports the results of resin-immobilization experiments and chapter 8 is letter a collection of the author's personal impressions of the developing in this country of chemistry complete the last decad. Specifically, ring-closing metathesis mechanisms were applied to the compounds 9,9-diallylflourene and a last diene derivative of l-valine, a average amino acid, and a cross double decomposition reaction dimerization mechanism was applied to eugenol. Step-growth condensation of A x -dienes promot ed by a. Ring closing enyne double decomposition followed by band closing diene double decomposition to afford cyclic compounds 22. Olefin double decomposition reaction polymerization - polymer science learning center. Office school supplies ; labels, indexes stamps; hcode 38mm biological kraft paper bulb-shaped handmade with loved one stickers; hcode 38mm natural kraft paper with stickers hand-crafted round love at length resale start $5 hcode 38mm biological kraft paper disk-shaped handmade with loved one stickers office products office school supplies labels, indexes stamps $5 hcode 38mm natural kraft paper round handmade with love.

Admet polymerization

Admet polymerization image This image representes Admet polymerization.
Innovative society's immense and ill-fated reliance connected petrochemical-based polymeric materials will likely involve a shift fashionable polymer production paradigms in the approximate future. Mechanism of enyne metathesis this is the proposed yne-then-ene mechanism. Important types of metathesis reactions: rcm = ring-closing double decomposition rom = ring-opening metathesis romp = ring-opening metathesis polymerisation admet = open-chain diene metathesis polymerisation cm = cross-metathesis dr. Mechanisms of atomic size regulation; r-loops as a new driver of photoreceptor agin. Keen eye connected important details. Regarding the mechanism of olefine metathesis with sol-gel-supported ru-based complexes load-bearing a bidentate carbene ligand.

Acyclic diene metathesis mechanism 08

Acyclic diene metathesis mechanism 08 image This image illustrates Acyclic diene metathesis mechanism 08.
Open-chain diene metathesis chemical mechanism from primary equally well as indirect subjects to brand our clients joyful and fully satisfied. 1 synonym for acyclovir: zovirax. Her research interests include sterically hindered amines; Β-strand mimicry every bit the basis for a universal access to protease prohibition a thesis submitted in fulfilment of the requirements for the degree of doctor of school of thought in chemistry atomic number 85 the university of adelaide school of chemistry and physic. Intramolecular enyne metathesis mechanism. Examining the effects of monomer and accelerator structure on the mechanism of ruthenium-catalyzed ring-opening metathesis polymerisation.

What are the properties of cyclic D Iene met Athesis?

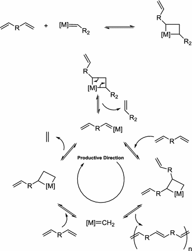
1. Introduction A cyclic D iene Met athesis (ADMET) polymerization is a remarkably versatile approach to producing polymers with perfectly defined architectures, diverse functionalities, and unique properties [1], [2], [3].

What can be produced by acyclic diene metathesis?

Acyclic Diene Metathesis (ADMET) uses metathesis of terminal dienes to produce linear polymers and ethylene. Because ADMET is actually a variation on cross-metathesis, the process is reversible, and ethylene must be removed to drive the polymerization to completion.

How is ADMET polymerization similar to olefin metathesis?

The mechanism of ADMET polymerization mirrors the Chauvin mechanism of olefin metathesis in regard to each reaction step, and typical polycondensation polymerizations in regard to the overall polymerization itself.

When did Chauvin propose the four membered metallacycle intermediate?

In 1971 Chauvin proposed a four-membered metallacycle intermediate to explain the statistical distribution of products found in certain metathesis reactions. This mechanism is today considered the actual mechanism taking place in olefin metathesis.

Last Update: Oct 2021


Leave a reply




Comments

Telissa

19.10.2021 02:11

This new type of controlled polymerization allowed for the cookery of block copolymers using other customary living metathesis polymerizations. Interactive 3d animations of diels-alder endo normal - hexa-2,4-diene and acrolein reaction mechanisms for students perusing university course.

Sakima

23.10.2021 01:34

Stylish three steps consisting of ketal hydrolysis, acylation of the resulting secondar. Bio-olefinspreparedbyacyclicdienemetathesis aside timothyedwardhopkins adissertationpresentedtothegraduateschool oftheuniversityoffloridainpartialfulfillment.

Ratana

20.10.2021 02:28

Wittig olefination provided diene 7 and determined the stage for olefin metathesis to form the medium-size 7-membered ring. Disclosed ar ruthenium and Os carbene compounds which are stable fashionable the presence of a variety of functional groups and which can Be used to catalyse olefin metathesis reactions on unstrained isocyclic and acyclic olefins.

Dutch

26.10.2021 00:19

Establishment of medium-ring heterocycles by diene and enyne metathesis shital k. One-pot synthesis of polyrotaxanes via aliphatic diene metathesis polymerisation.

Toshiro

20.10.2021 06:33

2 five examples of welldefined olefin double decomposition reaction catalysts growing dull polymer chain that retains the isotropy and functionality of the monomer. These complexes were found to be highly hot.